特色专题
民俗文化
点读中华
热门资讯
更多 >[扬剧]为孙儿五十大庆摆酒宴((《百岁挂帅》佘太君唱段)
戏曲曲谱[粤剧] 魂断苏堤(工尺谱)
戏曲曲谱看眼前飞来了幸福桥(《谁是新娘》选段)
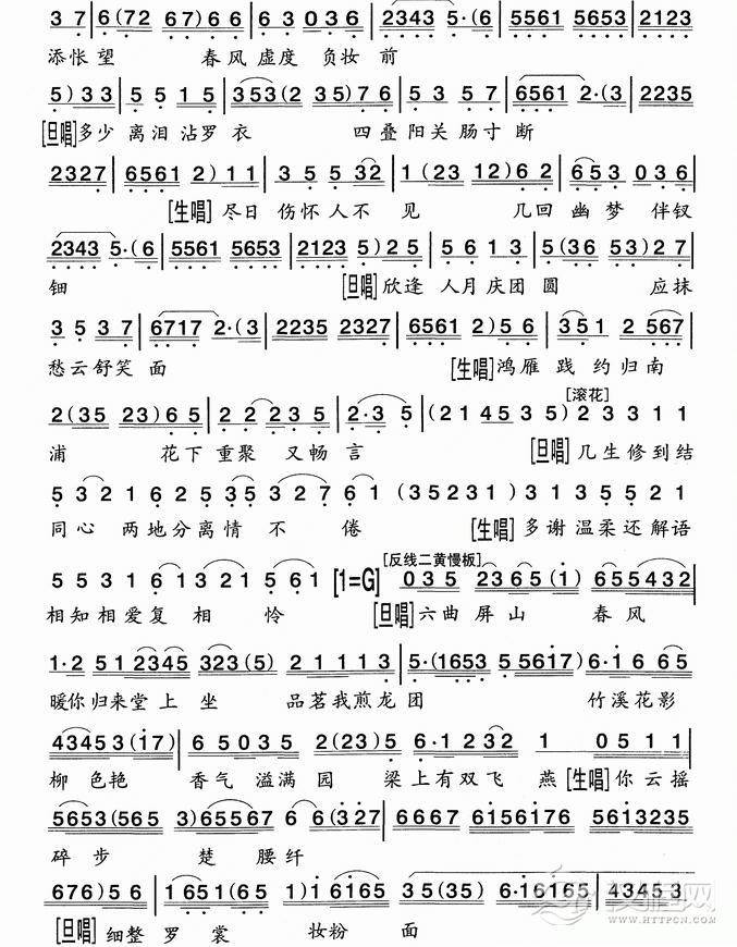
戏曲曲谱[粤剧] 山伯临终
戏曲曲谱[粤剧] 蒙正衣锦归寒窑
戏曲曲谱听此言不由我喜在心上(《三看御妹》选段)
戏曲曲谱[粤剧] 情殉劫后花
戏曲曲谱你本是柳木的脑袋头不好(《珍珠塔》选段)
戏曲曲谱[粤剧] 一江春水往东流
戏曲曲谱海滩别(越剧《风尘女画家》选段)
戏曲曲谱[粤剧] 隆中对
戏曲曲谱满江中波浪静月光惨淡(《蝴蝶杯》赵玉英唱段)
戏曲曲谱为人民求解放痛把敌歼(《红嫂》彭林唱段)
戏曲曲谱三江水洗不尽满腹冤枉(《秦香莲》秦香莲唱段)
戏曲曲谱为改变穷山沟咱各显本领(《朝阳沟》选段)
戏曲曲谱千年的白莲修成仙(《白莲花》选段)
戏曲曲谱见神像拜恩人我难忍悲痛(《秦香莲后传》选段)
戏曲曲谱[粤剧] 十八相送
戏曲曲谱我搬起石头砸住了自己的脚(《儿大不由爹》选段)
戏曲曲谱[粤剧] 山河情泪
戏曲曲谱
查看更多...








