特色专题
民俗文化
点读中华
热门资讯
更多 >[四平调] 报花名
戏曲曲谱你随我南北义演(《常香玉》选段)
戏曲曲谱一轮明月早东升(《清官册》选段、琴谱)
戏曲曲谱舍不得有情意莺莺贤妹(《西厢记》张君瑞唱段)
戏曲曲谱[扬剧]桂英儿身体强素有酒量(《百岁挂帅》佘太君唱段)
戏曲曲谱[秦腔]你爹爹去世后我将你照管(《骆驼岭》高振江唱段)
戏曲曲谱[扬剧]快选派良将莫差杨家(《百岁挂帅》柴郡主唱段)
戏曲曲谱[秦腔] 孙尚香坐画阁自思自叹(《龙凤呈祥》孙尚香唱段)
戏曲曲谱豫剧小合唱:颂奥运
戏曲曲谱[扬剧]劝世人行善莫行凶(《珍珠塔》方卿唱段)
戏曲曲谱[扬剧]小道童上前来打一躬(《珍珠塔》方卿唱段)
戏曲曲谱[秦腔] 自从嫁到你卢家门(《水泼红袍》选段)
戏曲曲谱[秦腔] 恨兄长做此事横行霸道(《劈山救母》三圣母唱腔)
戏曲曲谱[秦腔] 姐姐同我把水看(《游西湖·游湖》李慧娘唱段)
戏曲曲谱入罗帐(《梅香》选段)
戏曲曲谱[碗碗腔] 姓桃居住桃花村(《金碗钗》桃小春唱段)
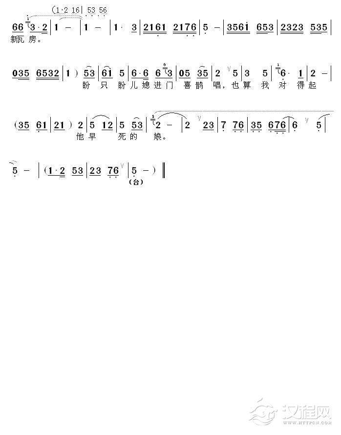
戏曲曲谱好一座惊人的郑氏功勋府(《保龙山》选段)
戏曲曲谱[秦腔] 看我这身又轻步又快(《徐策跑城》徐策唱段)
戏曲曲谱凭牢窗望同仁情潮涌荡(《风雨同仁堂》选段、琴谱)
戏曲曲谱[秦腔] 曾向菱花来对照(《扫窗会》王金贞唱腔)
戏曲曲谱
查看更多...


