特色专题
民俗文化
点读中华
热门资讯
更多 >[曲剧]杀猪杀到月出山(《屠夫状元》胡山唱段)
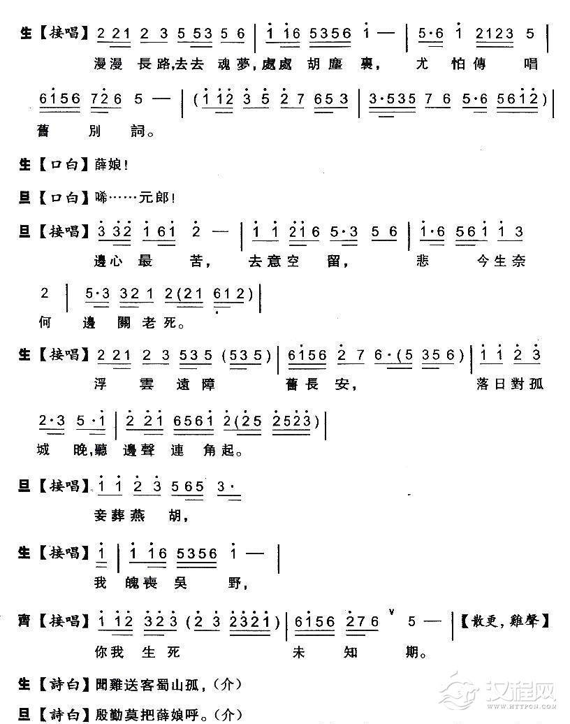
戏曲曲谱[粤剧粤曲] 壩陵泣别紫钗人
戏曲曲谱[闽剧]读血书(《陈若霖斩皇子》选段)
戏曲曲谱[闽剧]寻夫(《红裙记》选段)
戏曲曲谱[粤剧粤曲]唐宫香梦证前盟
戏曲曲谱夜听琴(《西厢记》选段)
戏曲曲谱五拜姑娘(《玉簪记》选段)
戏曲曲谱[秦腔]王宝钏心中乱麻索(《五典坡》王宝钏唱段)
戏曲曲谱到任来秉圣命把豪强严办(《谢瑶环》谢瑶环唱段、琴谱)
戏曲曲谱[秦腔]未开言不由我泪流满面(《柳林告状》杨素贞唱段)
戏曲曲谱云外的须弥山色空四显(《天女散花》选段、琴谱)
戏曲曲谱[秦腔]这样事自幼何曾做惯(《火焰驹》李彦贵唱段)
戏曲曲谱情怨(京歌)(龙翔词 刘春爱曲)
戏曲曲谱观世音满月面珠开妙相(《天女散花》选段、琴谱)
戏曲曲谱[秦腔]花园赏秋(《火焰驹》黄桂英唱段)
戏曲曲谱春风送暖桃花艳(京歌)
戏曲曲谱看大王在帐中和衣睡稳(《霸王别姬》选段、琴谱)
戏曲曲谱[秦腔]擦干眼泪再前进(《向阳川》翠林唱段)
戏曲曲谱一杯薄酒奉劝君 (《柳荫记》选段、琴谱)
戏曲曲谱[秦腔]看天下劳苦人民都解放(《洪湖卫队》韩英唱段)
戏曲曲谱
查看更多...










