特色专题
民俗文化
点读中华
热门资讯
更多 >[单弦·牌子]普天乐
戏曲曲谱春草青青隐翠溪(《焚绵山》选段、伴奏谱)
戏曲曲谱[湖北大鼓]聚宝盆
戏曲曲谱[单弦·牌子]三根棒
戏曲曲谱我笑儿的愚我笑儿的陋(《孟母断机》孟母唱段、琴谱)
戏曲曲谱[湖北大鼓]如此媳妇(又名:这样的媳妇)
戏曲曲谱狼狈贼施计俩逼人太甚(《周仁献嫂》选段、琴谱)
戏曲曲谱[湖北大鼓]三婿拜寿
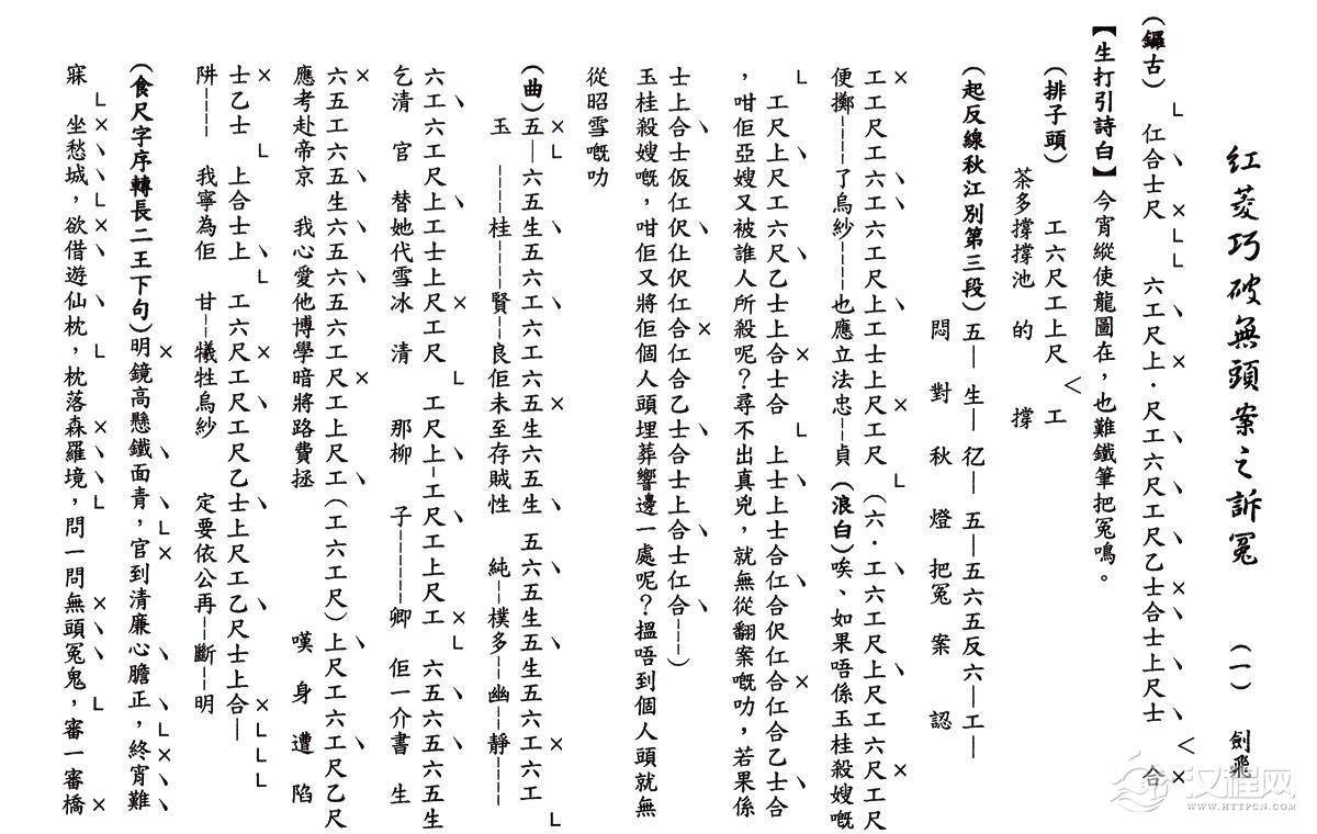
戏曲曲谱[粤曲]梦断沈园春(工尺谱)
戏曲曲谱平日里讲过千百遍(《年年有余》雷老四唱段、琴谱)
戏曲曲谱[闽剧]苏秦假不第
戏曲曲谱若说是没奇缘偏偏遇到他(《黛玉葬花》选段、琴谱)
戏曲曲谱[闽剧]钱顺姐十拜
戏曲曲谱抖丝缰催动了桃花战马(《双阳公主》双阳公主唱段、琴谱)
戏曲曲谱午夜里钟声响江风更紧(《海港》方海珍唱段、琴谱)
戏曲曲谱面对着公字闸(《龙江颂》江水英唱段、琴谱)
戏曲曲谱杯中酒勾起我心头巨澜(《宋江题诗》选段、琴谱)
戏曲曲谱[扬剧曲牌]种大麦(小女婿/刘海砍樵/十月)
戏曲曲谱老公爹消消气(《卖苗郎》柳迎春唱段)
戏曲曲谱[粤曲]辞庙悲国魂
戏曲曲谱
查看更多...







