特色专题
民俗文化
点读中华
热门资讯
更多 >动起来(李成福词 马义平曲)
戏曲曲谱苏州河,我的母亲河(叶金剑词 段福培曲)
戏曲曲谱唱给党的歌
戏曲曲谱生活真美好
戏曲曲谱[粤曲]琵琶行
戏曲曲谱绣个荷包寄远方
戏曲曲谱绣球抛给解放军
戏曲曲谱[粤曲]朱弁回朝之招魂(工尺谱)
戏曲曲谱大爱无言(张建中词 戴建华曲)
戏曲曲谱[粤曲]北地离歌(工尺谱)
戏曲曲谱想延安,唱延安
戏曲曲谱[粤曲]梦断沈园春
戏曲曲谱[粤曲]血溅未央宫
戏曲曲谱[粤曲]秋山送别
戏曲曲谱科技兴国铸辉煌
戏曲曲谱[粤曲]弦歌励周郎
戏曲曲谱盛开在蓝天下(同名儿童电视剧主题曲)
戏曲曲谱[粤曲]浪卷飞花
戏曲曲谱升起来(电视系列片《人与人》选曲)
戏曲曲谱跨世纪的新一代(李幼容词 潘振声曲)
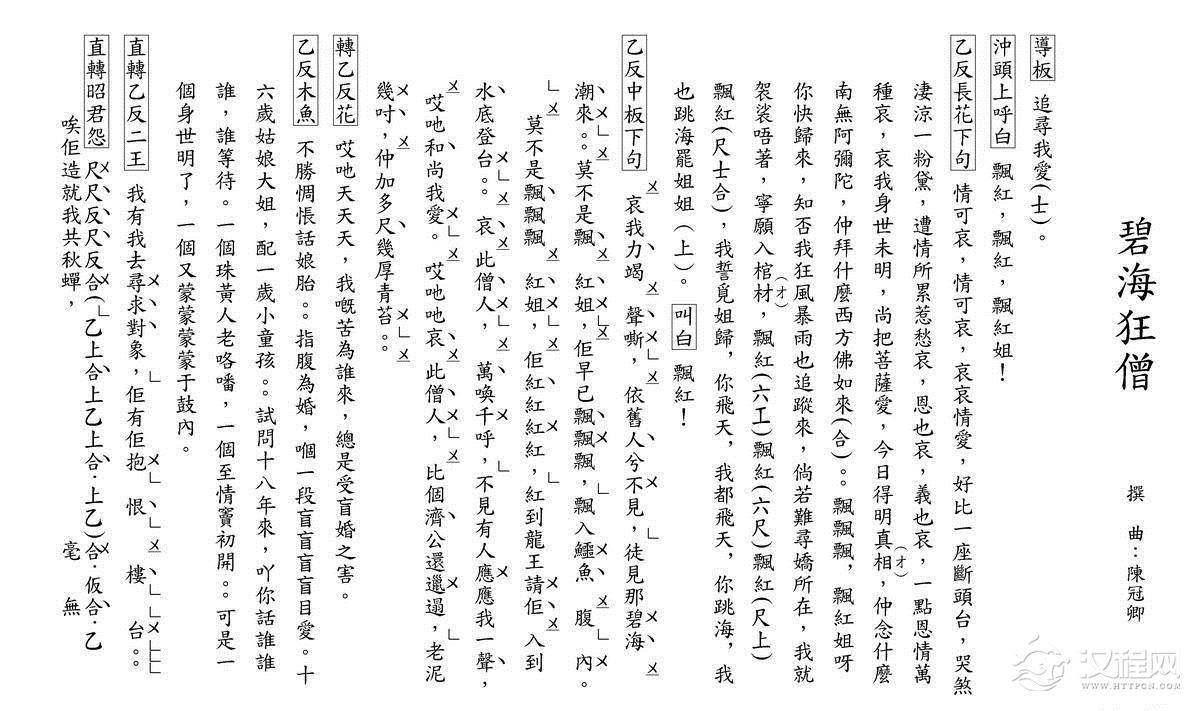
戏曲曲谱
查看更多...



