展开全文
APP阅读
声明:本文仅代表作者本人观点,汉同文系信息发布平台,仅提供信息存储空间服务。[投诉]
特色专题
民俗文化
点读中华
热门资讯
更多 >
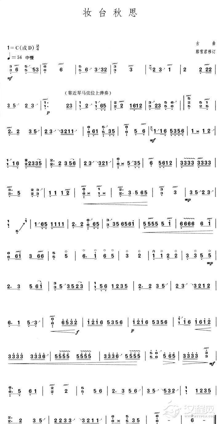
古筝谱《彩云追月》
曲谱大全
吉他谱《梁祝》
曲谱大全
吉他曲谱【雨的旋律】
曲谱大全古筝歌曲【思凡】图片谱
曲谱大全古筝歌曲【渔光曲】图片谱
曲谱大全巴乌乐谱《哈尼欢歌》
曲谱大全巴乌乐谱《傍晚的声音》
曲谱大全巴乌乐谱《哈尼情歌》
曲谱大全巴乌乐谱《边寨春早》
曲谱大全巴乌乐谱《鹤乡人》
曲谱大全巴乌乐谱《红土诗画》
曲谱大全古筝歌谱【八婆闹】
曲谱大全巴乌独奏谱《草原美》
曲谱大全古筝歌谱【美酒加咖啡】
曲谱大全古筝歌谱【美丽的神话】高清
曲谱大全巴乌乐谱《痴情冢》
曲谱大全巴乌乐谱《湖上春光》
曲谱大全古筝歌谱【拾拍】
曲谱大全古筝歌谱【阿里朗】
曲谱大全巴乌乐谱《傣家情》两个版本
曲谱大全
查看更多...




