特色专题
民俗文化
点读中华
热门资讯
更多 >
古筝谱《彩云追月》
曲谱大全
吉他谱《梁祝》
曲谱大全
吉他曲谱【雨的旋律】
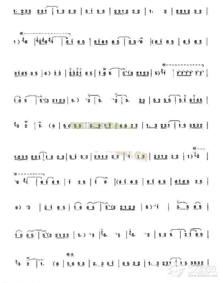
曲谱大全欢乐的农家(唢呐谱)简谱
曲谱大全唢呐曲谱:普天乐
曲谱大全唢呐曲谱:闹春耕
曲谱大全唢呐手写谱【凡字调】
曲谱大全经典唢呐歌曲目大全,2015年10月热门唢呐曲谱合集
曲谱大全彬县龙高塬唢呐曲谱【抱灵牌】
曲谱大全唢呐独奏乐曲【山坡羊】山东民间乐曲 任同祥改编
曲谱大全唢呐乐谱【庆丰收】
曲谱大全唢呐独奏乐曲【欢乐的农家】陈家齐曲
曲谱大全唢呐乐谱【唢呐三吐练习】
曲谱大全唢呐独奏乐曲【翻身道情】延安鲁艺工文团编曲
曲谱大全唢呐独奏乐曲【伐木】陈家齐曲
曲谱大全唢呐独奏乐曲【春到茶山】陈家齐曲
曲谱大全唢呐独奏乐曲【金蛇狂舞】聂取编曲
曲谱大全唢呐独奏乐曲【爬山虎】民间乐曲 陈家齐改编
曲谱大全唢呐独奏乐曲【快乐的心】新疆民间乐曲
曲谱大全唢呐独奏乐曲【渔家织网唱丰收】陈家齐曲
曲谱大全
查看更多...







