展开全文
APP阅读
声明:本文仅代表作者本人观点,汉同文系信息发布平台,仅提供信息存储空间服务。[投诉]
特色专题
民俗文化
点读中华
热门资讯
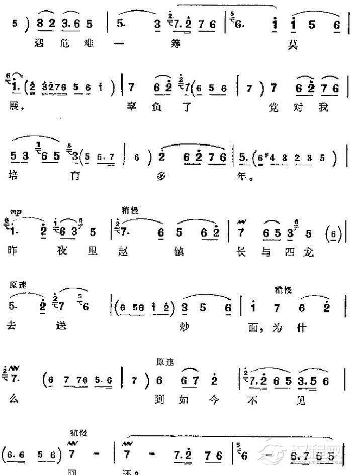
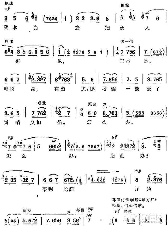
更多 >革命现代京剧《沙家浜》主要唱段:飞兵奇袭沙家浜(第八场 郭建光唱段)
戏曲曲谱革命现代京剧《红灯记》主要唱段:党教儿做一个刚强铁汉(第八场 李玉和唱段)
戏曲曲谱[傩堂戏]白旗调(《扫地先锋》白旗仙唱段)
戏曲曲谱革命现代京剧《沙家浜》主要唱段:沙家浜总有一天会解放(第七场 沙奶奶唱段)
戏曲曲谱革命现代京剧《龙江颂》主要唱段:毛主席把阳光雨露洒满人间(第七场 盼水妈唱段)
戏曲曲谱[傩堂戏]老生调(《孟姜女》姜文、孟姜女唱段)
戏曲曲谱革命现代京剧《龙江颂》主要唱段:这样的好书记人人夸不够(第六场 阿坚伯唱段)
戏曲曲谱[傩堂戏]马夫调(《扎寨》小马夫唱段)
戏曲曲谱革命现代京剧《沙家浜》主要唱段:毛主席党中央指引方向(第五场 郭建光唱段)
戏曲曲谱京剧唱谱:革命现代京剧《龙江颂》主要唱段:这样的好书记人人夸不够(第六场 阿坚伯唱段)
戏曲曲谱革命现代京剧《沙家浜》主要唱段:你待同志亲如一家(第二场 郭建光、沙奶奶对唱)
戏曲曲谱[傩堂戏]踩猖板
戏曲曲谱[傩堂戏]范良腔(《范杞良》范杞良唱段)
戏曲曲谱革命现代京剧《沙家浜》主要唱段:祖国的好山河寸土不让(第二场 郭建光唱段)
戏曲曲谱[傩堂戏]土地调
戏曲曲谱[傩堂戏]姜女调加花腔(《姜女下池》孟姜女唱段)
戏曲曲谱革命现代京剧《沙家浜》主要唱段:共产党就象天上的太阳一样(第二场 沙奶奶唱段)
戏曲曲谱[傩堂戏]丫环调(《游城晒衣》梅香唱段)
戏曲曲谱报花名(评剧)1
戏曲曲谱[傩堂戏]喜悦调(《游城晒衣》梅香、安童唱段)
戏曲曲谱
查看更多...






