特色专题
民俗文化
点读中华
热门资讯
更多 >姊妹易嫁(吕剧全剧)(000-050)
戏曲曲谱如此洞房别有情(黄梅戏神话艺术片《龙女》云花唱段)
戏曲曲谱大小姐你何须问(黄梅戏神话艺术片《龙女》文哥唱段)
戏曲曲谱井台会(吕剧全剧)
戏曲曲谱晚风习习秋月冷(黄梅戏神话艺术片《龙女》姜文玉唱段)
戏曲曲谱十年寒窗盼科选(黄梅戏神话艺术片《龙女》姜文玉、文哥唱段)
戏曲曲谱一月思念(黄梅戏神话艺术片《龙女》珍姑唱段)
戏曲曲谱天旱苗枯瘦(黄梅戏神话艺术片《龙女》男女声合唱)
戏曲曲谱龙凤面(吕剧全剧)(00-50)
戏曲曲谱论医道他真是不同凡响(黄梅戏神话艺术片《龙女》黄丞相唱段)
戏曲曲谱秋月(淮海戏《秋月》唱段)
戏曲曲谱王汉喜借年(吕剧全剧)(00-50)
戏曲曲谱水晶宫外龙门口(黄梅戏神话艺术片《龙女》选段)
戏曲曲谱小姑贤(吕剧全剧)(51-90)
戏曲曲谱春秋配受逼迫去捡柴
戏曲曲谱东海边,留神话(黄梅戏神话艺术片《龙女》片尾曲)
戏曲曲谱小姑贤(吕剧全剧)(00-50)
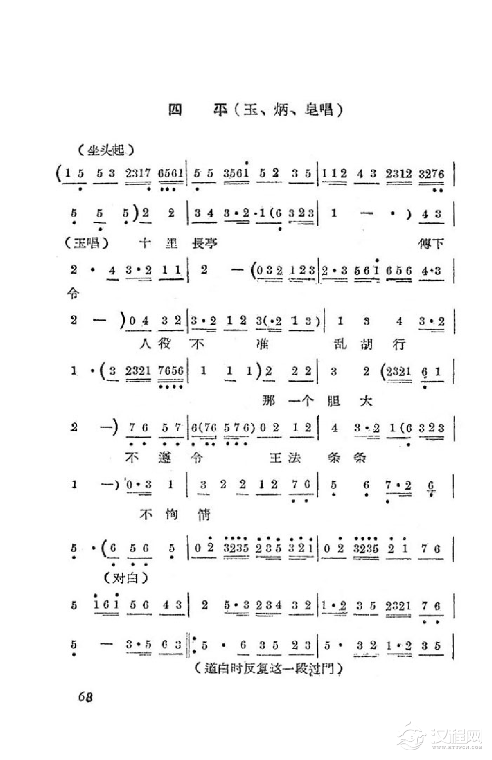
戏曲曲谱望江亭
戏曲曲谱怕三更,三更到(黄梅戏神话艺术片《龙女》云花唱段)
戏曲曲谱姊妹易嫁(吕剧全剧)(101-122)
戏曲曲谱
查看更多...






































