笛子名曲[京调&顾冠仁编曲]
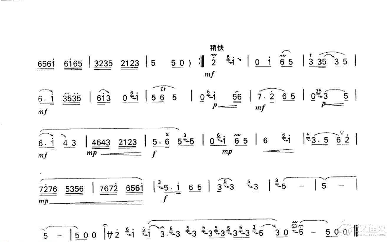
《京调》是顾冠仁于1960年根据京剧西皮原版和西皮流水音调改编的一首民族管弦乐曲。乐曲采用清脆明亮的竹笛领奏,模拟人们熟悉的京剧唱腔,配以轻快流畅的伴奏音型,构思别具一格,表现了一种欢快喜悦、生动活泼的情趣。
民乐合奏曲
乐曲结构为带再现的三部曲式(ABABA)。开始由乐队奏出源于京剧过门音调的引子,接着出现竹笛演奏出的第一部分主题:清脆明亮的笛声,模拟人们熟悉的京剧唱腔,使人感到轻松愉快。这一活泼的快板于一段过门之后,再由竹笛奏出一段新的京剧音调:这一音调舒展、飘逸,与第一段活泼的主题旋律形成对比。乐曲的第三部分是第一部分的再现,轻松活泼的音调,把情绪推向高潮,最后突然放慢速度,由笛子用散板的京剧唱腔结束全曲。“西皮”是京剧的唱腔之一,据说最早是陕西一带的“秦腔”流入湖北襄阳一带,与当地音调和其他音调相结合形成“襄阳腔”,在运用中发展为“西皮”。本曲吸收了西皮原板(一板一眼的2/4拍)和流水板中的快板(有板无眼的1/4拍)的特点,使全曲紧凑、轻快,情绪热烈。
![笛子名曲[京调&顾冠仁编曲]](http://imgcdn.hanyunshi.com/updataimg/yueqidizi/datu/rlc2ubzcooy.jpg)
![笛子名曲[京调&顾冠仁编曲]](http://imgcdn.hanyunshi.com/updataimg/yueqidizi/datu/mc514zotkdt.jpg)
展开全文
APP阅读
声明:本文仅代表作者本人观点,汉同文系信息发布平台,仅提供信息存储空间服务。[投诉]
特色专题
民俗文化
点读中华
热门资讯
更多 >
古筝谱《彩云追月》
曲谱大全
吉他谱《梁祝》
曲谱大全
吉他曲谱【雨的旋律】
曲谱大全高清精品12孔陶笛曲谱:我只在乎你 带歌词
曲谱大全笛子名曲[姑苏行&江先渭改编]
曲谱大全流行古筝曲《青花瓷》小撮/分解和弦
曲谱大全古筝乐曲谱《雪山春晓》
曲谱大全四孔陶笛曲谱大约在冬季
曲谱大全高清精品12孔陶笛曲谱:再回到重前 带歌词
曲谱大全笛子名曲[双合凤&曲广义记谱]
曲谱大全传统古筝名曲《良宵》琶音/滑音/小撮
曲谱大全流行古筝曲《发如雪》花音/抹、托组合指法
曲谱大全笛子名曲[牧笛&刘炽曲]
曲谱大全四孔陶笛曲谱岛歌
曲谱大全笛子名曲[喜相逢&冯子存、方堃编曲]
曲谱大全高清精品12孔陶笛曲谱:掌声响起来 带歌词
曲谱大全笛子名曲[云雀&罗马尼亚民间乐曲]
曲谱大全流行古筝曲《东风破》勾、托、抹组合指法/变化音4/小撮/刮奏
曲谱大全笛子名曲[春潮&刘锡津、霍殿兴曲]
曲谱大全四孔陶笛曲谱哆来咪
曲谱大全
查看更多...



