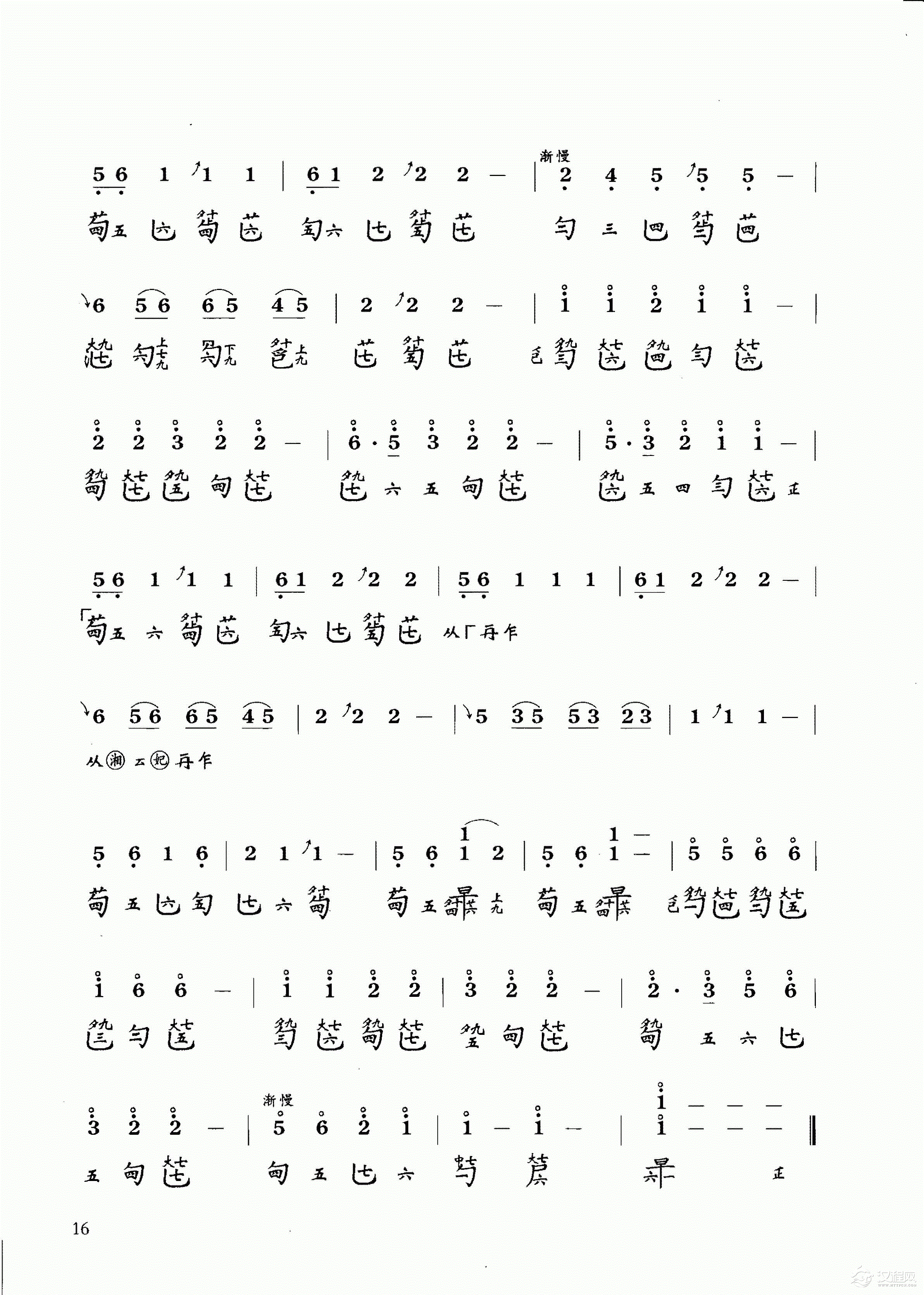
古琴乐曲谱 第二级《湘妃怨 》
歌词
其一
落花落叶乱纷纷,终日思君不见君。肠欲断兮肠欲断,泪珠痕上更添痕。一片白云靑山内,一片白云靑山外。
二段
靑山内外有白云,白云飞去靑山在。我有一片心,无人对君说,愿风吹散云,诉与天边月。携琴上高楼,楼高月花满。
三段
相思弹未终,泪滴水弦断。人道湘江深,未抵相思半。江深终有底,相思无边岸。
四段
君在湘江头,妾在湘江尾。相思不相见,共飮湘江水。梦魂飞不到,所欠惟一死。
五段
入我想思门,知我想思苦。长想思兮想忆,短想思兮无尽极。早知如此绊人心,何不当初莫相识。
六段
湘江湘水碧澄澄,未抵想思一半深。每向梦中相见后,令人不觉痛上心。

展开全文
APP阅读
声明:本文仅代表作者本人观点,汉同文系信息发布平台,仅提供信息存储空间服务。[投诉]
特色专题
民俗文化
点读中华
热门资讯
更多 >
古筝谱《彩云追月》
曲谱大全
吉他谱《梁祝》
曲谱大全
吉他曲谱【雨的旋律】
曲谱大全好学的陶埙乐谱《铁血丹心》
曲谱大全古琴按音练习(左手泛音与调弦)
曲谱大全好学的陶埙乐谱《凤阳花鼓》
曲谱大全古琴乐曲谱 第三级《玉楼春晓》王迪记谱
曲谱大全洞箫入门练习谱《箫音头与跳进音程练习》
曲谱大全洞箫入门练习乐曲谱《西湖春》
曲谱大全好学的陶埙乐谱《葬花吟》
曲谱大全古琴谱 第一级《古琴吟》许健记谱
曲谱大全好学的陶埙乐谱《春天的故事》
曲谱大全好学的陶埙乐谱《敢问路在何方》
曲谱大全古琴乐曲谱 第二级《双鹤听泉》
曲谱大全古琴乐曲谱 第三级《映山红》傅庚辰曲
曲谱大全洞箫入门练习乐曲谱《茉莉花》
曲谱大全好学的陶埙乐谱《阿拉木汗》
曲谱大全好学的陶埙乐谱《打靶归来》
曲谱大全好学的陶埙乐谱《歌唱祖国》
曲谱大全古琴乐曲谱 第二级《拉纤歌》
曲谱大全
查看更多...



