好听的陶笛乐曲《葬花吟》陶笛翻奏曲目
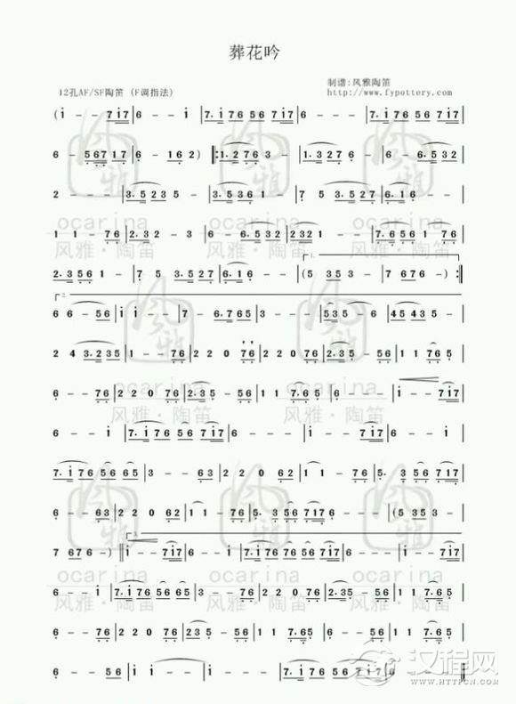
《葬花吟》
这首曲子出自《红楼梦》,用中低音陶笛吹来特别有味道。
低音的陶笛和埙的声音很接近,而埙是中国最为古老的乐器之一,也是华夏文明的代表和缩影,埙特别适合演奏古风古韵的曲子,也和其悠久的历史有关系,低音陶笛也这样,是对埙的传承,也适合古韵的曲子演奏。
展开全文
APP阅读
声明:本文仅代表作者本人观点,汉同文系信息发布平台,仅提供信息存储空间服务。[投诉]
特色专题
民俗文化
点读中华
热门资讯
更多 >
古筝谱《彩云追月》
曲谱大全
吉他谱《梁祝》
曲谱大全
吉他曲谱【雨的旋律】
曲谱大全好听的陶笛乐曲《风的甬道》陶笛翻奏曲目
曲谱大全好听的陶笛乐曲《日光稻香》
曲谱大全竹笛外国名曲《重归苏莲托》陈咏秋笛子曲
曲谱大全好听的陶笛乐曲《恋人心》陶笛翻奏曲目
曲谱大全竹笛外国名曲《京调》陈咏秋笛子曲
曲谱大全竹笛外国名曲《绿袖子》陈咏秋笛子曲
曲谱大全竹笛外国名曲《猎人合唱》陈咏秋笛子曲
曲谱大全竹笛外国名曲《水乡船歌》陈咏秋笛子曲
曲谱大全好听的陶笛乐曲《孤独的牧羊人》陶笛翻奏曲目
曲谱大全竹笛外国名曲《春天年年到人间》陈咏秋笛子曲
曲谱大全好听的陶笛乐曲《只要你过得比我好》
曲谱大全好听的陶笛乐曲《斯卡布罗集市》陶笛翻奏曲目
曲谱大全竹笛外国名曲《小仙女之歌》陈咏秋笛子曲
曲谱大全竹笛外国名曲《月亮河》陈咏秋笛子曲
曲谱大全好听的陶笛乐曲《幻化成风》陶笛翻奏曲目
曲谱大全竹笛外国名曲《鄂尔多斯的春天》陈咏秋笛子曲
曲谱大全好听的陶笛乐曲《荣耀》
曲谱大全
查看更多...



