古琴乐曲谱 第五级《岳阳三醉》李凤云记谱
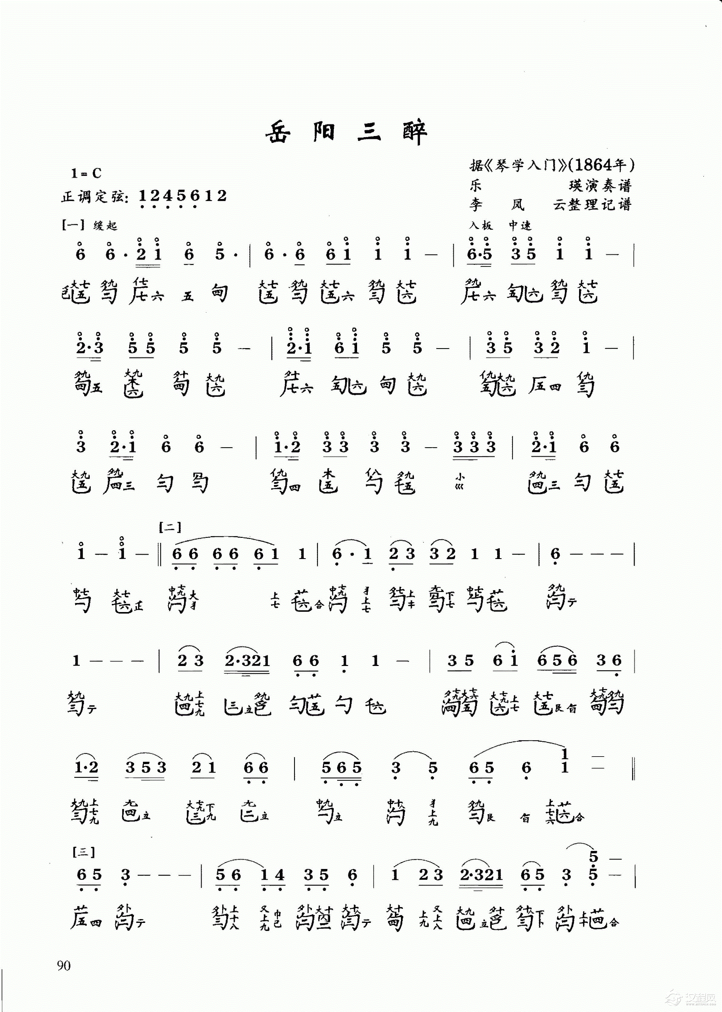
琴曲《岳阳三醉》道家题材,取意于吕洞宾三醉岳阳,飞渡洞庭的神话故事而作。反映了神仙道化,超脱现实的道家思想。曲调情趣逸致,音韵流畅。为琴曲中之大操。
此曲又名《羽化登仙》传自明代的《古音正宗》琴谱。共二十段。一说题意取自苏轼《赤壁赋》“羽化而登仙”句。其删节本称《岳阳三醉》,共二十段。一说取吕洞宾三醉岳阳,飞渡洞庭的神话故事。反映了神仙道化,脱离现实的道家思想。曲调情趣逸致,音韵流畅。为琴曲中之大操。
谱见《春草堂琴谱》《琴学入门》《蓼怀堂琴谱》等,琴谱互有出入。
取意于吕洞宾三醉岳阳,飞渡洞庭的神话故事而作。反映了神仙道化,脱离现实的道家思想。曲调情趣逸致,音韵流畅。为琴曲中之大操。全曲二十段,演奏时间长约九分钟。








展开全文
APP阅读
声明:本文仅代表作者本人观点,汉同文系信息发布平台,仅提供信息存储空间服务。[投诉]
特色专题
民俗文化
点读中华
热门资讯
更多 >
古筝谱《彩云追月》
曲谱大全
吉他谱《梁祝》
曲谱大全
吉他曲谱【雨的旋律】
曲谱大全好学的陶埙乐曲谱《玫瑰三愿》
曲谱大全音乐会演奏曲目《平沙落雁》
曲谱大全洞箫高级技巧练习《历音》历音音练习
曲谱大全好学的陶埙乐曲谱《临行喝妈一碗酒》
曲谱大全古琴乐曲谱 第六级《沧海龙吟》王迪记谱
曲谱大全好学的陶埙乐曲谱《梅花三弄》又名三六
曲谱大全好学的陶埙乐曲谱《卖报歌》
曲谱大全音乐会演奏曲目《红叶吟》
曲谱大全洞箫高级技巧练习《叠音》叠音练习
曲谱大全好学的陶埙乐曲谱《卖布谣》
曲谱大全音乐会演奏曲目《摇篮曲》
曲谱大全好学的陶埙乐曲谱《铃儿响叮当》
曲谱大全好学的陶埙乐曲谱《梅花三弄》
曲谱大全古琴乐曲谱 第八级《渔樵问答》许健记谱
曲谱大全音乐会演奏曲目《小白菜》
曲谱大全洞箫高级技巧练习《打音》打音练习
曲谱大全古琴乐曲谱 第六级《普庵咒》溥雪斋演奏谱
曲谱大全
查看更多...



