特色专题
民俗文化
点读中华
热门资讯
更多 >
古筝谱《彩云追月》
曲谱大全
吉他谱《梁祝》
曲谱大全
吉他曲谱【雨的旋律】
曲谱大全巴渝欢歌1
曲谱大全瑶族舞曲(中音笙 中阮分谱)
曲谱大全微山湖(二胡曲谱)
曲谱大全京歌·梨花颂(京胡伴奏谱)
曲谱大全那一天从梦中醒来
曲谱大全京歌·唱脸谱(京胡伴奏谱)
曲谱大全巴渝欢歌2
曲谱大全二胡技巧练习曲:滑柔练习
曲谱大全我用胡琴和你说话(二胡独奏、李本良订弓指法)
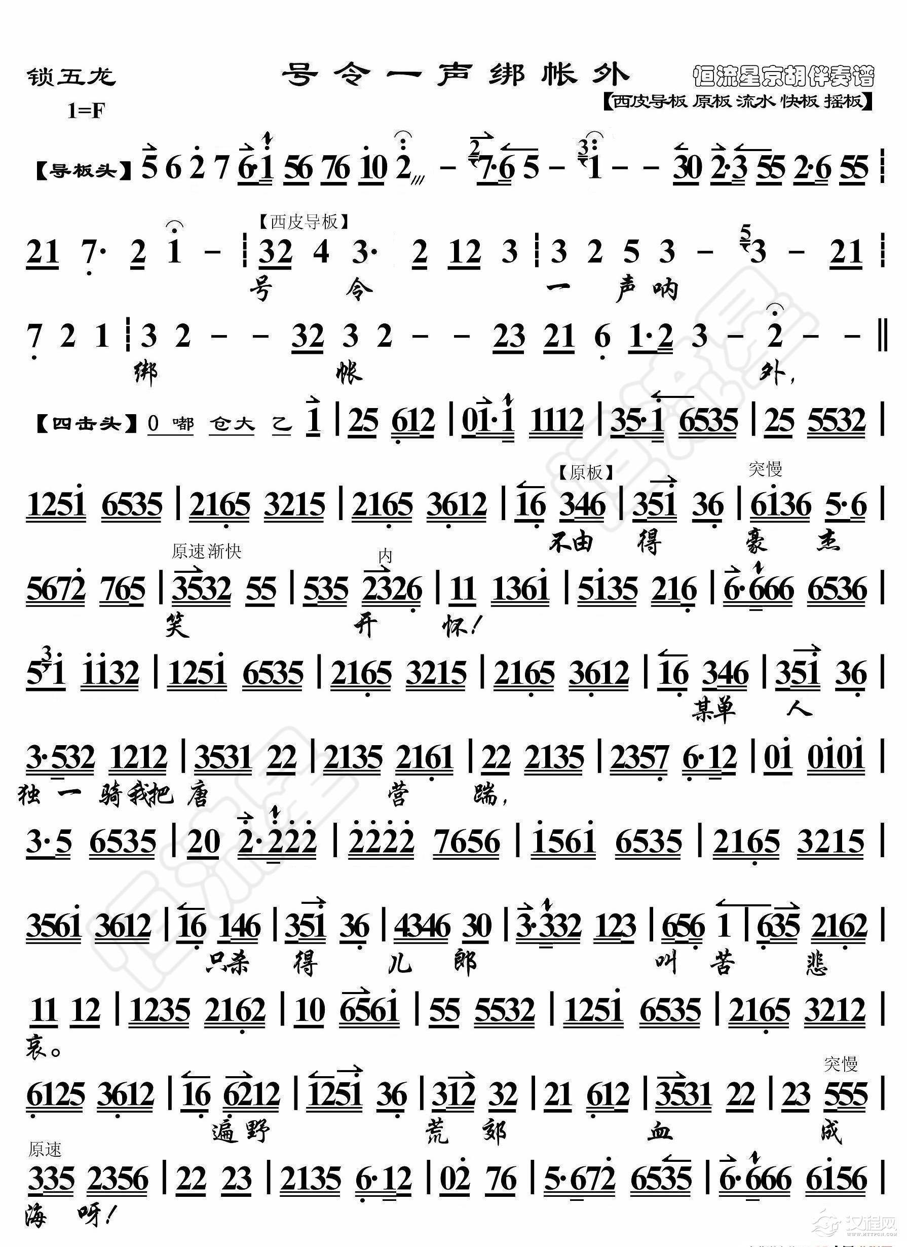
曲谱大全长坂坡·旌旗招展龙蛇影(京胡伴奏谱)
曲谱大全唢呐独奏
曲谱大全枣园春色(笛子独奏二胡合成谱)
曲谱大全京歌·前门情思大碗茶(京胡伴奏谱)
曲谱大全夜深沉(二胡独奏、宁汉才精益制谱版)
曲谱大全真的好想你(二胡独奏、李本良订指法)
曲谱大全九江口·心似火燃(京胡伴奏谱)
曲谱大全京歌·故乡是北京(京胡伴奏谱)
曲谱大全
查看更多...




