特色专题
民俗文化
点读中华
热门资讯
更多 >
古筝谱《彩云追月》
曲谱大全
吉他谱《梁祝》
曲谱大全
吉他曲谱【雨的旋律】
曲谱大全天边(二胡、中胡演奏曲谱)
曲谱大全周仁献嫂·狼狈贼施伎俩逼人太甚(京胡伴奏谱)
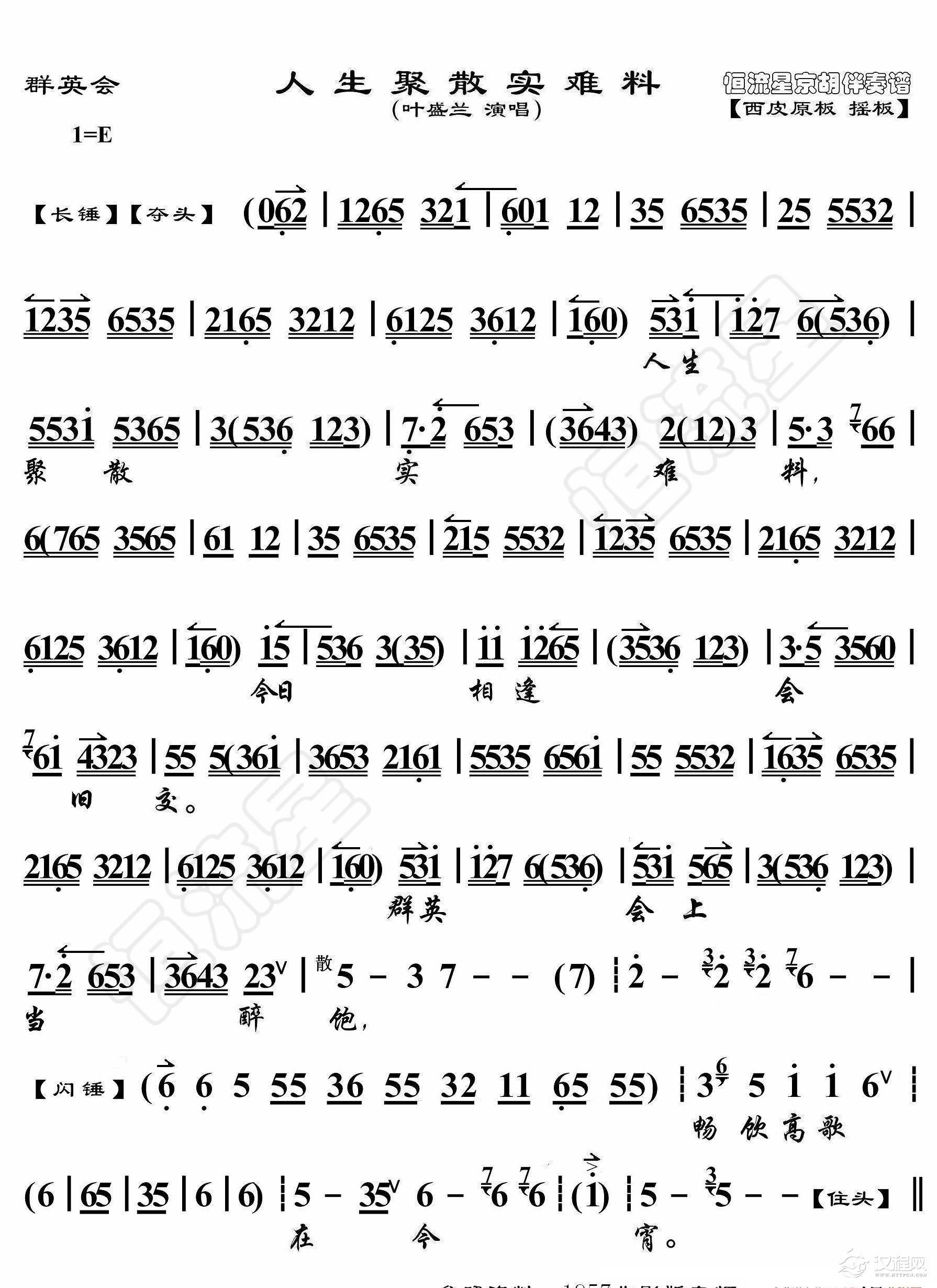
曲谱大全群英会·安排下巧计谋营门不锁(京胡伴奏谱)
曲谱大全洪湖随想曲(二胡独奏曲)
曲谱大全梨花颂(二胡伴唱版)
曲谱大全辕门射戟·某家今日设琼浆(京胡伴奏谱)
曲谱大全北京有个金太阳(二胡独奏曲谱)
曲谱大全群英会·曹孟德领人马贯绝粮道(京胡伴奏谱)
曲谱大全白门楼·今日里在小沛大败一仗(京胡伴奏谱)
曲谱大全京调(二胡演奏谱)
曲谱大全金蛇狂舞(二胡谱)
曲谱大全钓金龟·老天爷睁开了三分眼(京胡伴奏谱)
曲谱大全白门楼·今日里在阵前大败一仗(京胡伴奏谱)
曲谱大全柳荫记·远山叠翠如含笑(京胡伴奏谱)
曲谱大全把你带回我的草原(二胡演奏谱)
曲谱大全罢宴·想当年先太爷早把命丧(京胡伴奏谱)
曲谱大全迎宾曲(民乐合奏 二胡分谱)
曲谱大全
查看更多...



